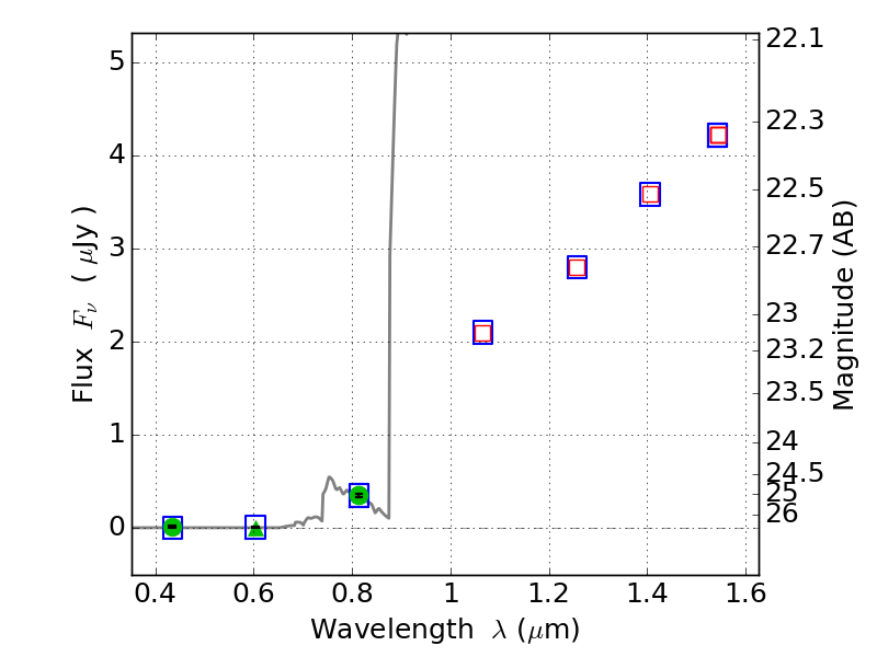
RXC0949+17 ACS+IR detection object #1262

Color images and BPZ results
Catalog: 1262.cat
Black segments are analyzed here.   Roll mouse over color images to view segments.
Best viewed in a wide browser window (1200 pixels or more).   Download SED & P(z) plots to view larger versions.
In P(z) plots: Yellow lines mark the cluster redshift z = 0.383,  

Object #1262   x,y = (4306, 3322)   RA, Dec = (09:49:45.216, 17:08:10.68) = (147.43840, 17.13630)   BPZ = 6.214 [5.768--9.014]   type = 6.00 (Sbc_B10)   chisq2 = 0.00   ODDS = 0.36   z_cluster = 0.383