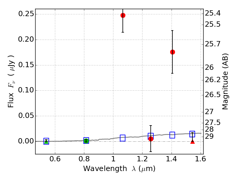
RXC0911+17 IR detection object #571

Color images and BPZ results
Catalog: 571.cat
Black segments are analyzed here.   Roll mouse over color images to view segments.
Best viewed in a wide browser window (1200 pixels or more).   Download SED & P(z) plots to view larger versions.
In P(z) plots: Yellow lines mark the cluster redshift z = 0.505,  

Object #571   x,y = (4268, 2002)   RA, Dec = (09:11:05.184, 17:46:26.04) = (137.77160, 17.77390)   BPZ = 1.263 [0.410--7.795]   type = 3.00 (Ell5_A_0)   chisq2 = 11.34   ODDS = 0.06   z_cluster = 0.505