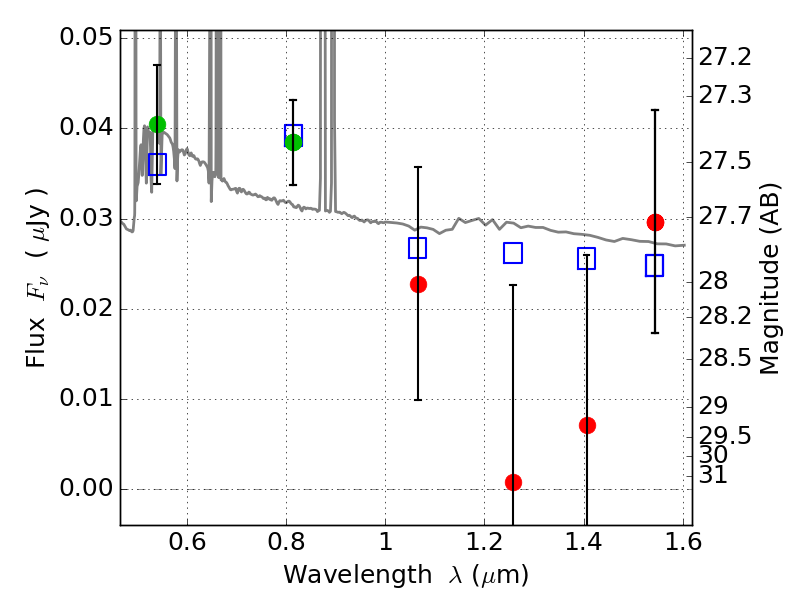
RXC0911+17 ACS+IR detection object #107

Color images and BPZ results
Catalog: 107.cat
Black segments are analyzed here.   Roll mouse over color images to view segments.
Best viewed in a wide browser window (1200 pixels or more).   Download SED & P(z) plots to view larger versions.
In P(z) plots: Yellow lines mark the cluster redshift z = 0.505,  

Object #107   x,y = (2423, 3264)   RA, Dec = (09:11:12.936, 17:47:42.00) = (137.80390, 17.79500)   BPZ = 0.332 [0.092--3.592]   type = 11.00 (SB11_A_0_l)   chisq2 = 0.54   ODDS = 0.09   z_cluster = 0.505