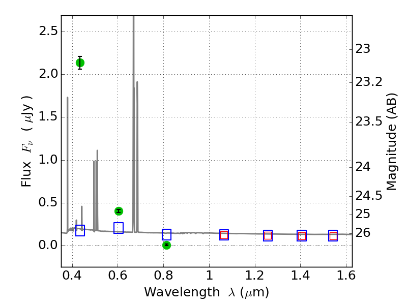
RXC0600-20 ACS+IR detection object #981

Color images and BPZ results
Catalog: 981.cat
Black segments are analyzed here.   Roll mouse over color images to view segments.
Best viewed in a wide browser window (1200 pixels or more).   Download SED & P(z) plots to view larger versions.
In P(z) plots: Yellow lines mark the cluster redshift z = 0.460,  

Object #981   x,y = (1681, 4058)   RA, Dec = (06:00:14.136, -20:06:48.96) = (90.05890, -20.11360)   BPZ = 0.017 [0.010--0.034]   type = 11.00 (SB11_A_0_l)   stellarity = 0.95   chisq2 = 852.77   ODDS = 1.00   z_cluster = 0.460