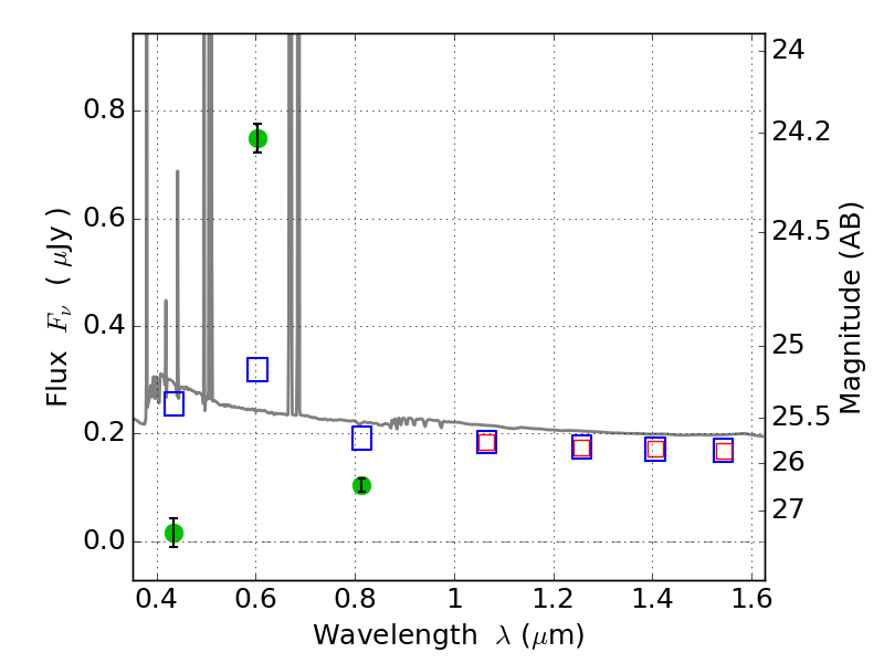
RXC0600-20 ACS+IR detection object #829

Color images and BPZ results
Catalog: 829.cat
Black segments are analyzed here.   Roll mouse over color images to view segments.
Best viewed in a wide browser window (1200 pixels or more).   Download SED & P(z) plots to view larger versions.
In P(z) plots: Yellow lines mark the cluster redshift z = 0.460,  

Object #829   x,y = (1796, 4183)   RA, Dec = (06:00:13.632, -20:06:41.40) = (90.05680, -20.11150)   BPZ = 0.016 [0.010--0.032]   type = 11.00 (SB11_A_0_l)   stellarity = 0.91   chisq2 = 221.09   ODDS = 1.00   z_cluster = 0.460