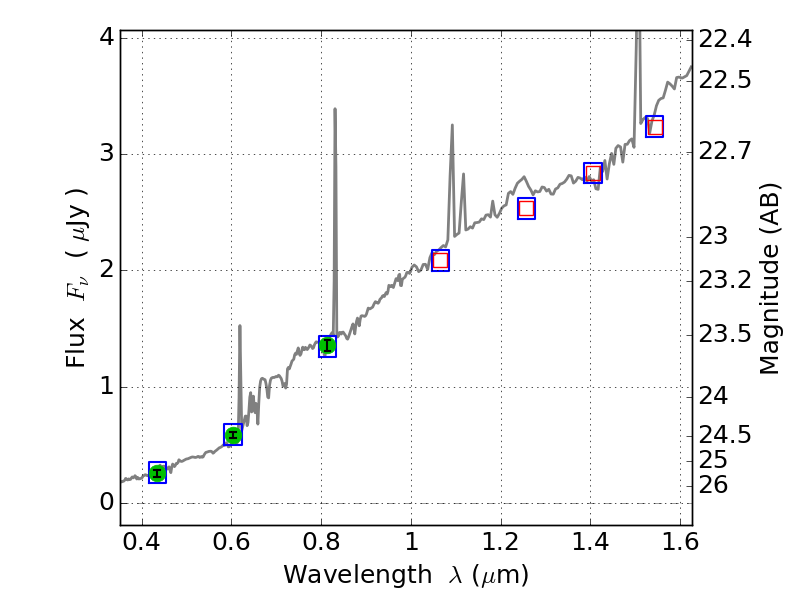
RXC0600-20 ACS+IR detection object #716

Color images and BPZ results
Catalog: 716.cat
Black segments are analyzed here.   Roll mouse over color images to view segments.
Best viewed in a wide browser window (1200 pixels or more).   Download SED & P(z) plots to view larger versions.
In P(z) plots: Yellow lines mark the cluster redshift z = 0.460,  

Object #716   x,y = (3196, 4260)   RA, Dec = (06:00:07.680, -20:06:36.72) = (90.03200, -20.11020)   BPZ = 0.665 [0.474--1.092]   type = 6.80 (Scd_B10 - Sbc_B10)   stellarity = 0.00   chisq2 = 0.00   ODDS = 0.49   z_cluster = 0.460