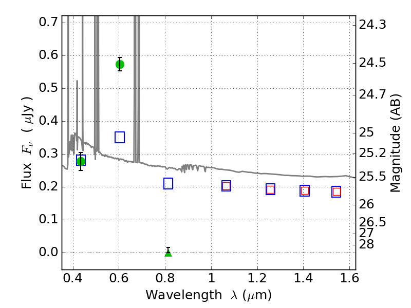
RXC0600-20 ACS+IR detection object #6163

Color images and BPZ results
Catalog: 6163.cat
Black segments are analyzed here.   Roll mouse over color images to view segments.
Best viewed in a wide browser window (1200 pixels or more).   Download SED & P(z) plots to view larger versions.
In P(z) plots: Yellow lines mark the cluster redshift z = 0.460,  

Object #6163   x,y = (3378, 784)   RA, Dec = (06:00:06.912, -20:10:05.16) = (90.02880, -20.16810)   BPZ = 0.016 [0.010--0.032]   type = 11.00 (SB11_A_0_l)   stellarity = 0.95   chisq2 = 105.94   ODDS = 1.00   z_cluster = 0.460