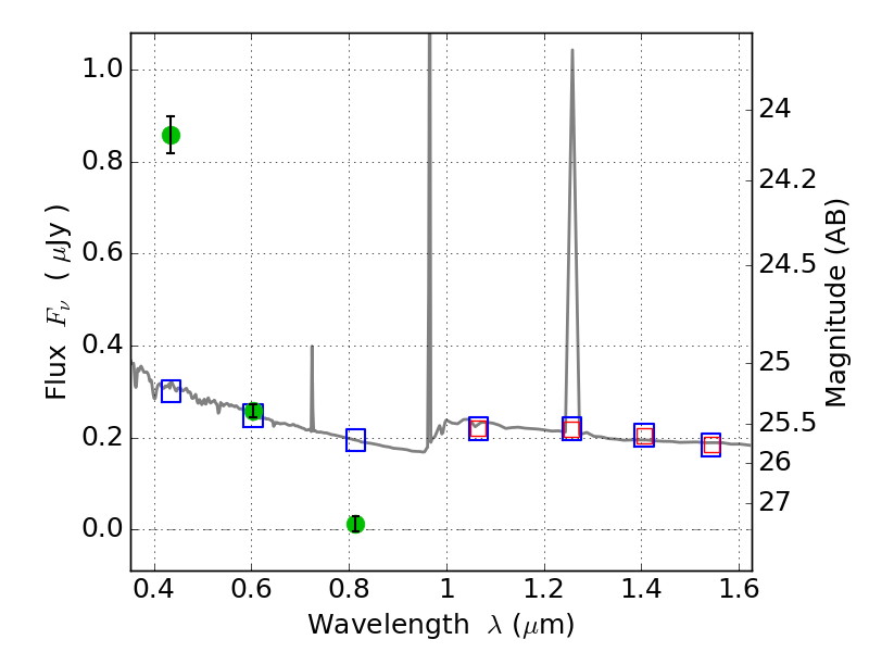
RXC0600-20 ACS+IR detection object #5861

Color images and BPZ results
Catalog: 5861.cat
Black segments are analyzed here.   Roll mouse over color images to view segments.
Best viewed in a wide browser window (1200 pixels or more).   Download SED & P(z) plots to view larger versions.
In P(z) plots: Yellow lines mark the cluster redshift z = 0.460,  

Object #5861   x,y = (3692, 1137)   RA, Dec = (06:00:05.568, -20:09:43.92) = (90.02320, -20.16220)   BPZ = 1.593 [1.486--2.033]   type = 11.00 (SB11_A_0_l)   stellarity = 0.92   chisq2 = 197.54   ODDS = 0.70   z_cluster = 0.460