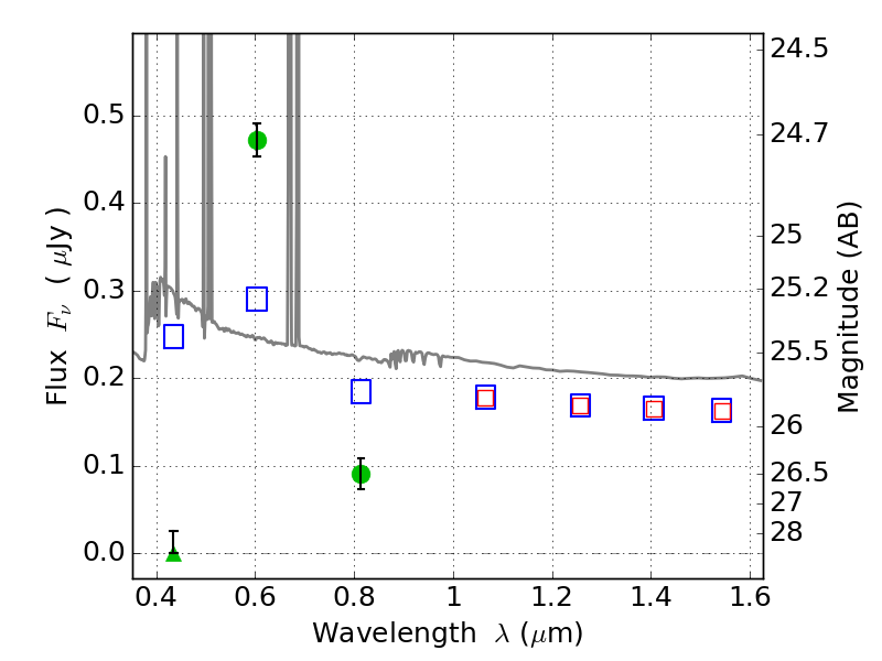
RXC0600-20 ACS+IR detection object #5652

Color images and BPZ results
Catalog: 5652.cat
Black segments are analyzed here.   Roll mouse over color images to view segments.
Best viewed in a wide browser window (1200 pixels or more).   Download SED & P(z) plots to view larger versions.
In P(z) plots: Yellow lines mark the cluster redshift z = 0.460,  

Object #5652   x,y = (3855, 1300)   RA, Dec = (06:00:04.872, -20:09:34.20) = (90.02030, -20.15950)   BPZ = 0.017 [0.010--0.038]   type = 11.00 (SB11_A_0_l)   stellarity = 0.92   chisq2 = 117.34   ODDS = 1.00   z_cluster = 0.460