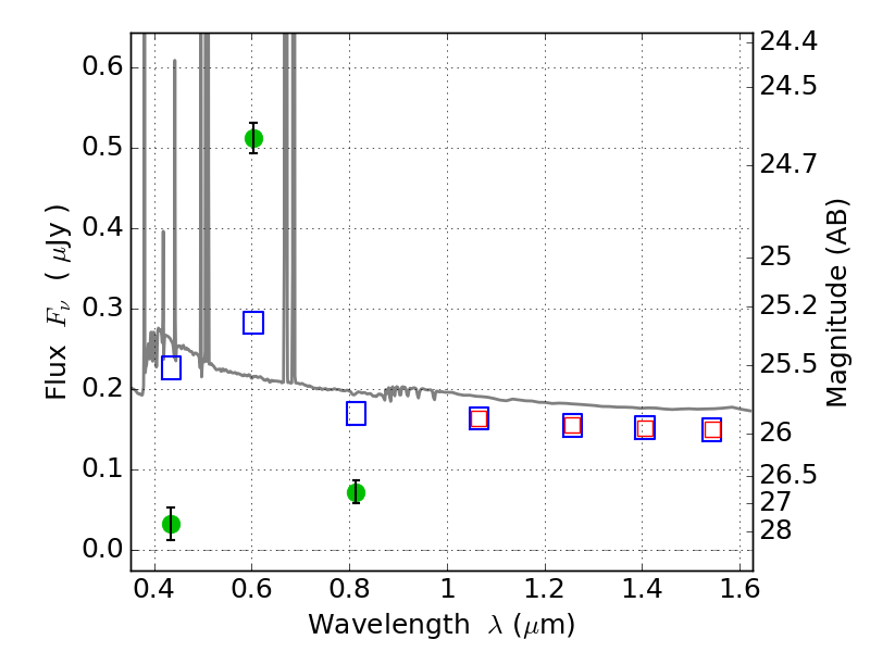
RXC0600-20 ACS+IR detection object #5574

Color images and BPZ results
Catalog: 5574.cat
Black segments are analyzed here.   Roll mouse over color images to view segments.
Best viewed in a wide browser window (1200 pixels or more).   Download SED & P(z) plots to view larger versions.
In P(z) plots: Yellow lines mark the cluster redshift z = 0.460,  

Object #5574   x,y = (3915, 1353)   RA, Dec = (06:00:04.608, -20:09:30.96) = (90.01920, -20.15860)   BPZ = 0.016 [0.010--0.033]   type = 11.00 (SB11_A_0_l)   stellarity = 0.95   chisq2 = 140.13   ODDS = 1.00   z_cluster = 0.460