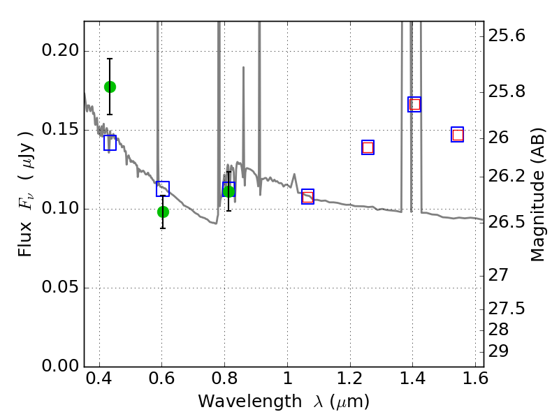
RXC0600-20 ACS+IR detection object #5286

Color images and BPZ results
Catalog: 5286.cat
Black segments are analyzed here.   Roll mouse over color images to view segments.
Best viewed in a wide browser window (1200 pixels or more).   Download SED & P(z) plots to view larger versions.
In P(z) plots: Yellow lines mark the cluster redshift z = 0.460,  

Object #5286   x,y = (1754, 1550)   RA, Dec = (06:00:13.824, -20:09:19.44) = (90.05760, -20.15540)   BPZ = 1.100 [0.864--2.317]   type = 11.00 (SB11_A_0_l)   stellarity = 0.00   chisq2 = 3.90   ODDS = 0.24   z_cluster = 0.460