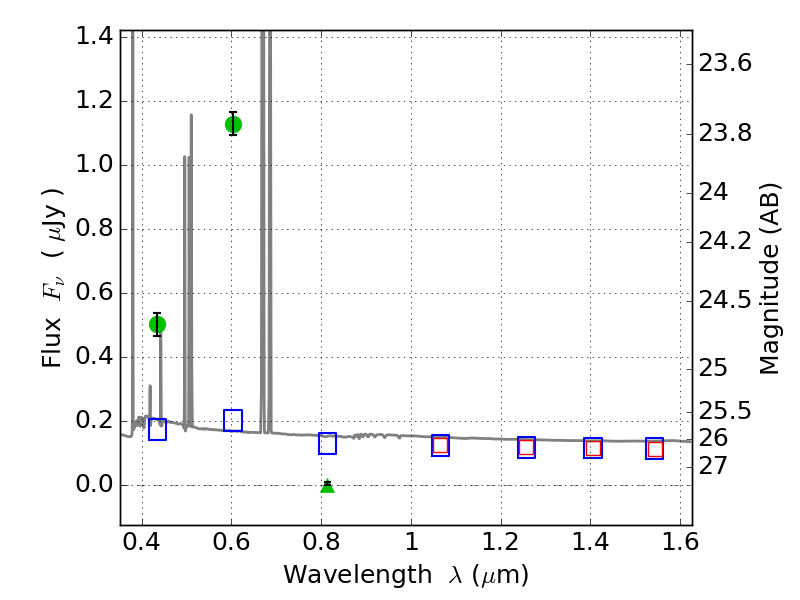
RXC0600-20 ACS+IR detection object #519

Color images and BPZ results
Catalog: 519.cat
Black segments are analyzed here.   Roll mouse over color images to view segments.
Best viewed in a wide browser window (1200 pixels or more).   Download SED & P(z) plots to view larger versions.
In P(z) plots: Yellow lines mark the cluster redshift z = 0.460,  

Object #519   x,y = (2033, 4447)   RA, Dec = (06:00:12.624, -20:06:25.56) = (90.05260, -20.10710)   BPZ = 0.017 [0.010--0.033]   type = 11.00 (SB11_A_0_l)   stellarity = 0.94   chisq2 = 717.36   ODDS = 1.00   z_cluster = 0.460