RXC0600-20 ACS+IR detection object #4908

Color images and BPZ results
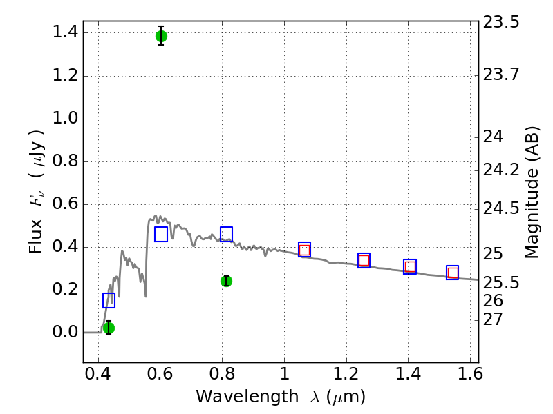
Catalog: 4908.cat
Black segments are analyzed here.   Roll mouse over color images to view segments.
Best viewed in a wide browser window (1200 pixels or more).   Download SED & P(z) plots to view larger versions.
In P(z) plots: Yellow lines mark the cluster redshift z = 0.460,  

Object #4908   x,y = (4346, 1807)   RA, Dec = (06:00:02.784, -20:09:03.96) = (90.01160, -20.15110)   BPZ = 3.567 [3.431--3.636]   type = 11.00 (SB11_A_0_l)   stellarity = 1.00   chisq2 = 348.83   ODDS = 1.00   z_cluster = 0.460