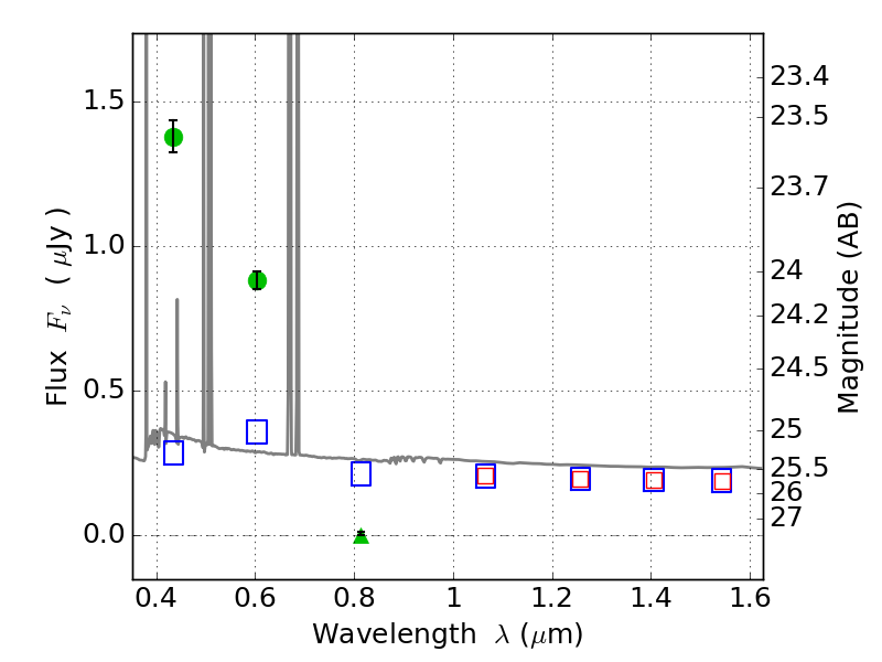
RXC0600-20 ACS+IR detection object #467

Color images and BPZ results
Catalog: 467.cat
Black segments are analyzed here.   Roll mouse over color images to view segments.
Best viewed in a wide browser window (1200 pixels or more).   Download SED & P(z) plots to view larger versions.
In P(z) plots: Yellow lines mark the cluster redshift z = 0.460,  

Object #467   x,y = (2027, 4488)   RA, Dec = (06:00:12.648, -20:06:23.04) = (90.05270, -20.10640)   BPZ = 0.016 [0.010--0.031]   type = 11.00 (SB11_A_0_l)   stellarity = 0.92   chisq2 = 582.82   ODDS = 1.00   z_cluster = 0.460