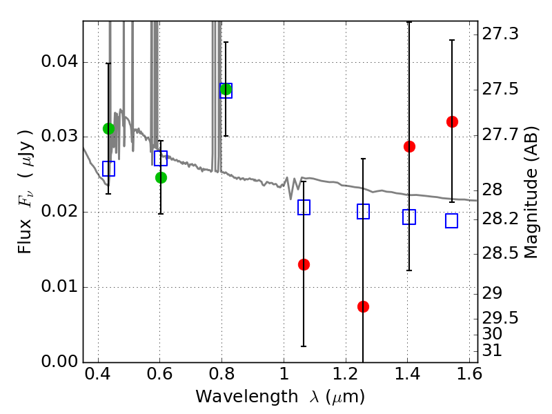
RXC0600-20 ACS+IR detection object #4430

Color images and BPZ results
Catalog: 4430.cat
Black segments are analyzed here.   Roll mouse over color images to view segments.
Best viewed in a wide browser window (1200 pixels or more).   Download SED & P(z) plots to view larger versions.
In P(z) plots: Yellow lines mark the cluster redshift z = 0.460,  

Object #4430   x,y = (2733, 2108)   RA, Dec = (06:00:09.648, -20:08:45.96) = (90.04020, -20.14610)   BPZ = 0.180 [0.120--3.210]   type = 11.00 (SB11_A_0_l)   stellarity = 0.08   chisq2 = 0.80   ODDS = 0.06   z_cluster = 0.460