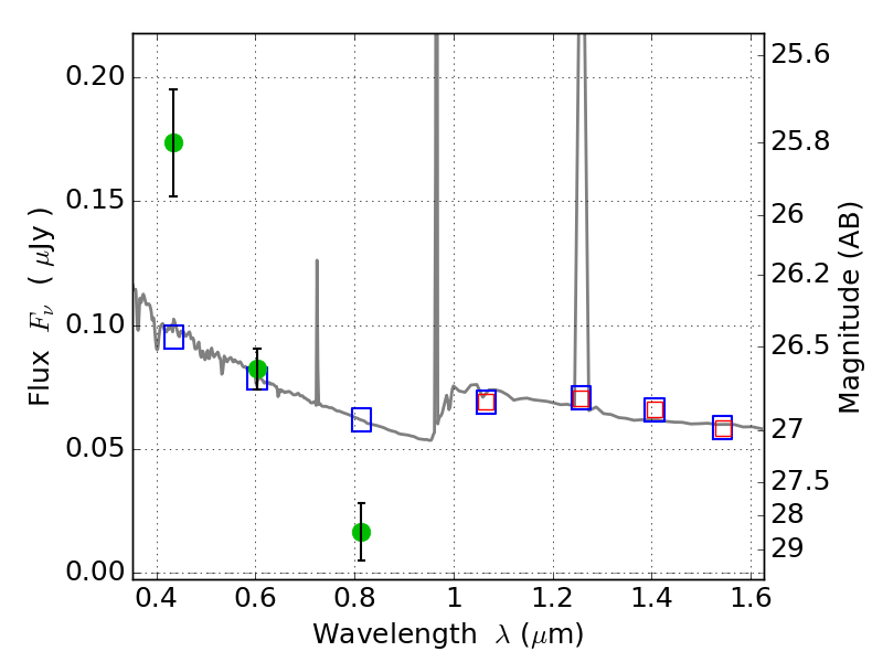
RXC0600-20 ACS+IR detection object #4216

Color images and BPZ results
Catalog: 4216.cat
Black segments are analyzed here.   Roll mouse over color images to view segments.
Best viewed in a wide browser window (1200 pixels or more).   Download SED & P(z) plots to view larger versions.
In P(z) plots: Yellow lines mark the cluster redshift z = 0.460,  

Object #4216   x,y = (4746, 2226)   RA, Dec = (06:00:01.080, -20:08:38.76) = (90.00450, -20.14410)   BPZ = 1.594 [1.339--2.360]   type = 11.00 (SB11_A_0_l)   stellarity = 0.97   chisq2 = 23.98   ODDS = 0.29   z_cluster = 0.460