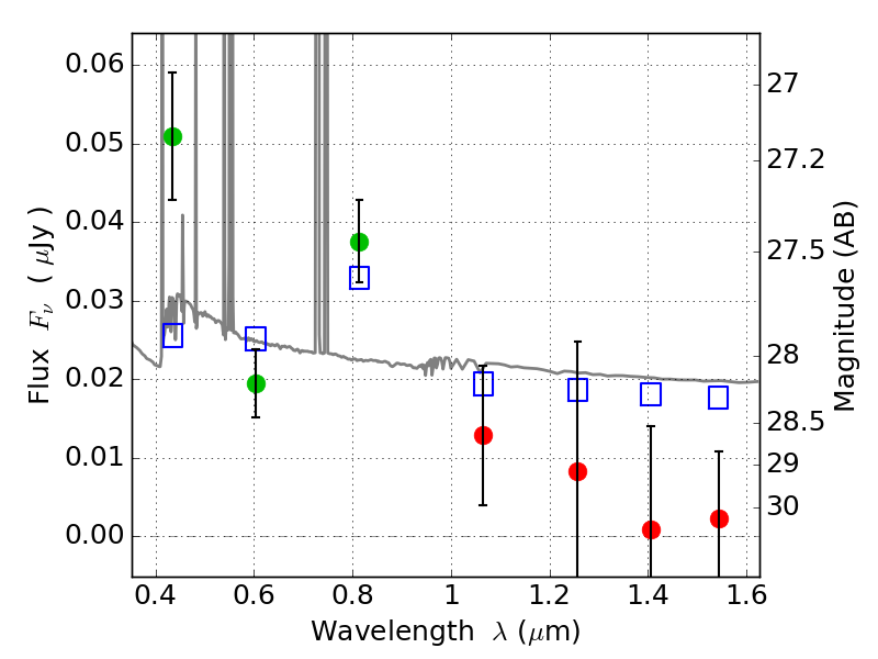
RXC0600-20 ACS+IR detection object #4105

Color images and BPZ results
Catalog: 4105.cat
Black segments are analyzed here.   Roll mouse over color images to view segments.
Best viewed in a wide browser window (1200 pixels or more).   Download SED & P(z) plots to view larger versions.
In P(z) plots: Yellow lines mark the cluster redshift z = 0.460,  

Object #4105   x,y = (2698, 2286)   RA, Dec = (06:00:09.792, -20:08:35.16) = (90.04080, -20.14310)   BPZ = 0.107 [0.082--2.438]   type = 11.00 (SB11_A_0_l)   stellarity = 0.15   chisq2 = 4.18   ODDS = 0.42   z_cluster = 0.460