RXC0600-20 ACS+IR detection object #4091

Color images and BPZ results
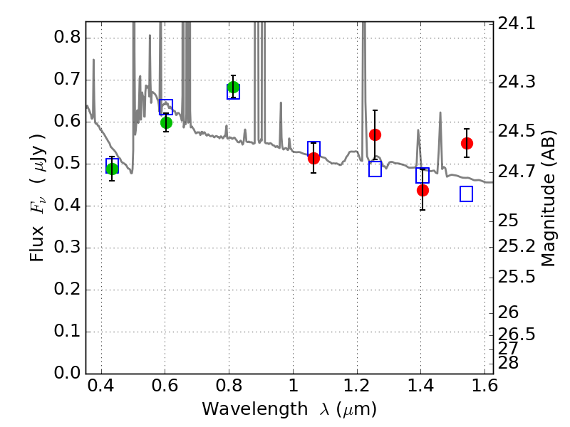
Catalog: 4091.cat
Black segments are analyzed here.   Roll mouse over color images to view segments.
Best viewed in a wide browser window (1200 pixels or more).   Download SED & P(z) plots to view larger versions.
In P(z) plots: Yellow lines mark the cluster redshift z = 0.460,  

Object #4091   x,y = (3312, 2344)   RA, Dec = (06:00:07.176, -20:08:31.56) = (90.02990, -20.14210)   BPZ = 0.354 [0.101--0.647]   type = 10.80 (SB11_A_0_l - SB3_B10)   stellarity = 0.15   chisq2 = 1.73   ODDS = 0.34   z_cluster = 0.460