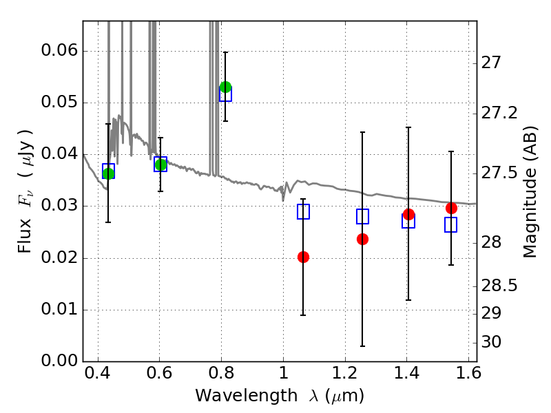
RXC0600-20 ACS+IR detection object #4049

Color images and BPZ results
Catalog: 4049.cat
Black segments are analyzed here.   Roll mouse over color images to view segments.
Best viewed in a wide browser window (1200 pixels or more).   Download SED & P(z) plots to view larger versions.
In P(z) plots: Yellow lines mark the cluster redshift z = 0.460,  

Object #4049   x,y = (2950, 2310)   RA, Dec = (06:00:08.736, -20:08:33.72) = (90.03640, -20.14270)   BPZ = 0.174 [0.090--3.210]   type = 11.00 (SB11_A_0_l)   stellarity = 0.42   chisq2 = 0.18   ODDS = 0.32   z_cluster = 0.460