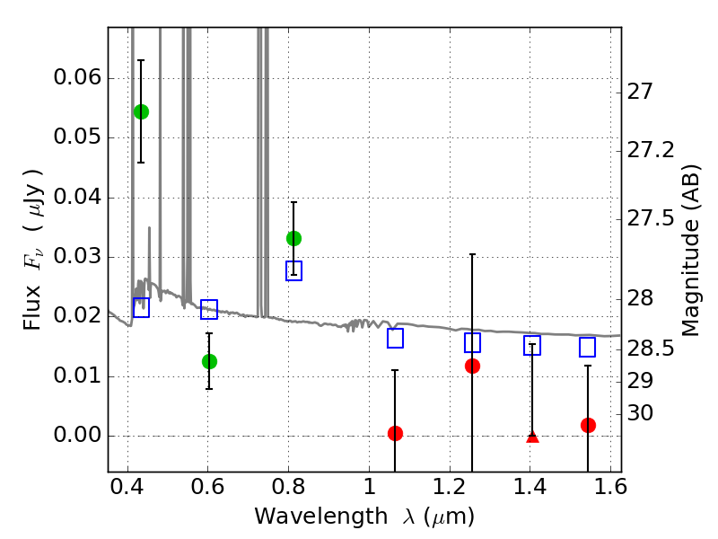
RXC0600-20 ACS+IR detection object #3777

Color images and BPZ results
Catalog: 3777.cat
Black segments are analyzed here.   Roll mouse over color images to view segments.
Best viewed in a wide browser window (1200 pixels or more).   Download SED & P(z) plots to view larger versions.
In P(z) plots: Yellow lines mark the cluster redshift z = 0.460,  

Object #3777   x,y = (3299, 2457)   RA, Dec = (06:00:07.224, -20:08:24.72) = (90.03010, -20.14020)   BPZ = 0.107 [0.092--2.615]   type = 11.00 (SB11_A_0_l)   stellarity = 0.09   chisq2 = 5.65   ODDS = 0.13   z_cluster = 0.460