RXC0600-20 ACS+IR detection object #3657

Color images and BPZ results
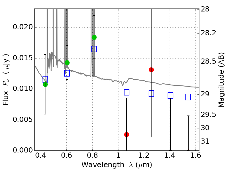
Catalog: 3657.cat
Black segments are analyzed here.   Roll mouse over color images to view segments.
Best viewed in a wide browser window (1200 pixels or more).   Download SED & P(z) plots to view larger versions.
In P(z) plots: Yellow lines mark the cluster redshift z = 0.460,  

Object #3657   x,y = (3610, 2516)   RA, Dec = (06:00:05.904, -20:08:21.48) = (90.02460, -20.13930)   BPZ = 0.210 [0.076--3.622]   type = 11.00 (SB11_A_0_l)   stellarity = 0.09   chisq2 = 1.35   ODDS = 0.21   z_cluster = 0.460