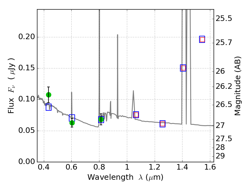
RXC0600-20 ACS+IR detection object #3527

Color images and BPZ results
Catalog: 3527.cat
Black segments are analyzed here.   Roll mouse over color images to view segments.
Best viewed in a wide browser window (1200 pixels or more).   Download SED & P(z) plots to view larger versions.
In P(z) plots: Yellow lines mark the cluster redshift z = 0.460,  

Object #3527   x,y = (4214, 2642)   RA, Dec = (06:00:03.336, -20:08:13.92) = (90.01390, -20.13720)   BPZ = 1.152 [0.814--2.417]   type = 11.00 (SB11_A_0_l)   stellarity = 0.07   chisq2 = 1.44   ODDS = 0.19   z_cluster = 0.460