RXC0600-20 ACS+IR detection object #3508

Color images and BPZ results
Catalog: 3508.cat
Black segments are analyzed here.   Roll mouse over color images to view segments.
Best viewed in a wide browser window (1200 pixels or more).   Download SED & P(z) plots to view larger versions.
In P(z) plots: Yellow lines mark the cluster redshift z = 0.460,  

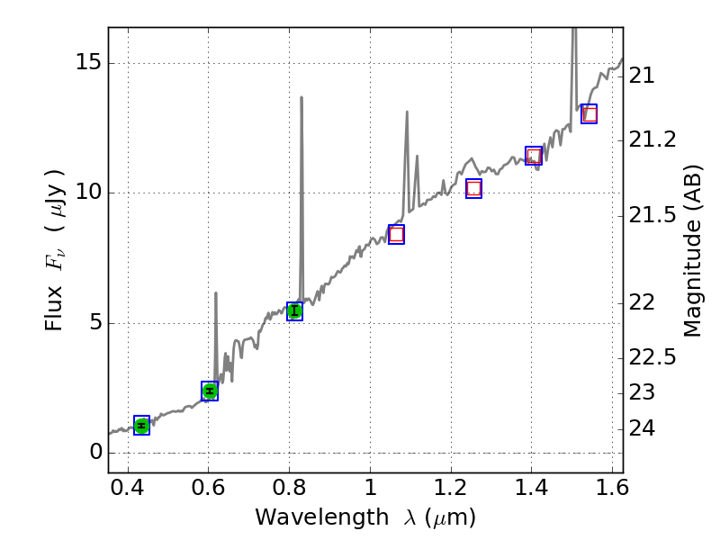
Object #3508   x,y = (1286, 2563)   RA, Dec = (06:00:15.816, -20:08:18.60) = (90.06590, -20.13850)   BPZ = 0.660 [0.546--0.756]   type = 6.80 (Scd_B10 - Sbc_B10)   stellarity = 0.00   chisq2 = 0.00   ODDS = 0.77   z_cluster = 0.460