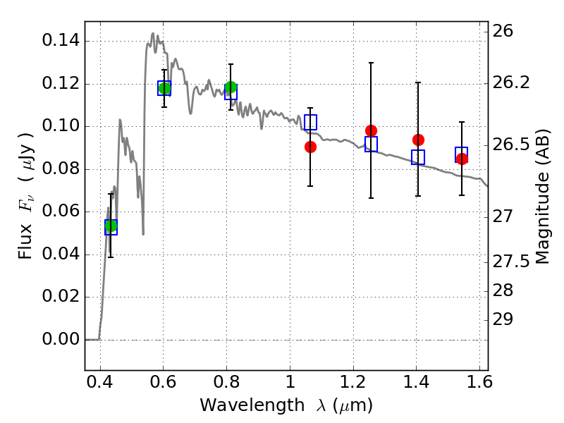
RXC0600-20 ACS+IR detection object #3060

Color images and BPZ results
Catalog: 3060.cat
Black segments are analyzed here.   Roll mouse over color images to view segments.
Best viewed in a wide browser window (1200 pixels or more).   Download SED & P(z) plots to view larger versions.
In P(z) plots: Yellow lines mark the cluster redshift z = 0.460,  

Object #3060   x,y = (3241, 2792)   RA, Dec = (06:00:07.488, -20:08:04.92) = (90.03120, -20.13470)   BPZ = 3.426 [0.282--3.673]   type = 10.50 (SB11_A_0_l - SB3_B10)   stellarity = 0.00   chisq2 = 0.13   ODDS = 0.63   z_cluster = 0.460