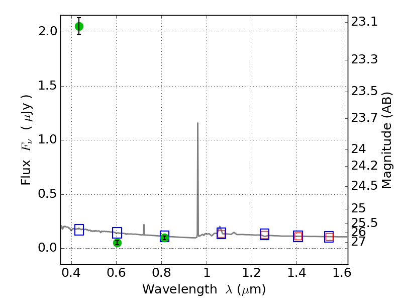
RXC0600-20 ACS+IR detection object #2943

Color images and BPZ results
Catalog: 2943.cat
Black segments are analyzed here.   Roll mouse over color images to view segments.
Best viewed in a wide browser window (1200 pixels or more).   Download SED & P(z) plots to view larger versions.
In P(z) plots: Yellow lines mark the cluster redshift z = 0.460,  

Object #2943   x,y = (475, 2805)   RA, Dec = (06:00:19.272, -20:08:03.84) = (90.08030, -20.13440)   BPZ = 1.584 [1.059--2.189]   type = 11.00 (SB11_A_0_l)   stellarity = 0.98   chisq2 = 581.64   ODDS = 0.24   z_cluster = 0.460