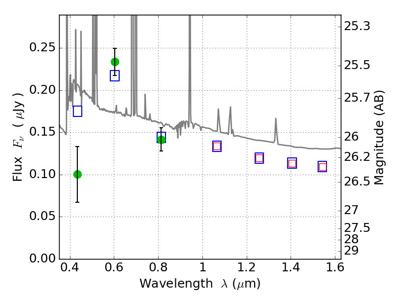
RXC0600-20 ACS+IR detection object #2474

Color images and BPZ results
Catalog: 2474.cat
Black segments are analyzed here.   Roll mouse over color images to view segments.
Best viewed in a wide browser window (1200 pixels or more).   Download SED & P(z) plots to view larger versions.
In P(z) plots: Yellow lines mark the cluster redshift z = 0.460,  

Object #2474   x,y = (742, 3083)   RA, Dec = (06:00:18.120, -20:07:47.28) = (90.07550, -20.12980)   BPZ = 0.037 [0.016--3.287]   type = 10.80 (SB11_A_0_l - SB3_B10)   stellarity = 0.89   chisq2 = 4.88   ODDS = 0.27   z_cluster = 0.460