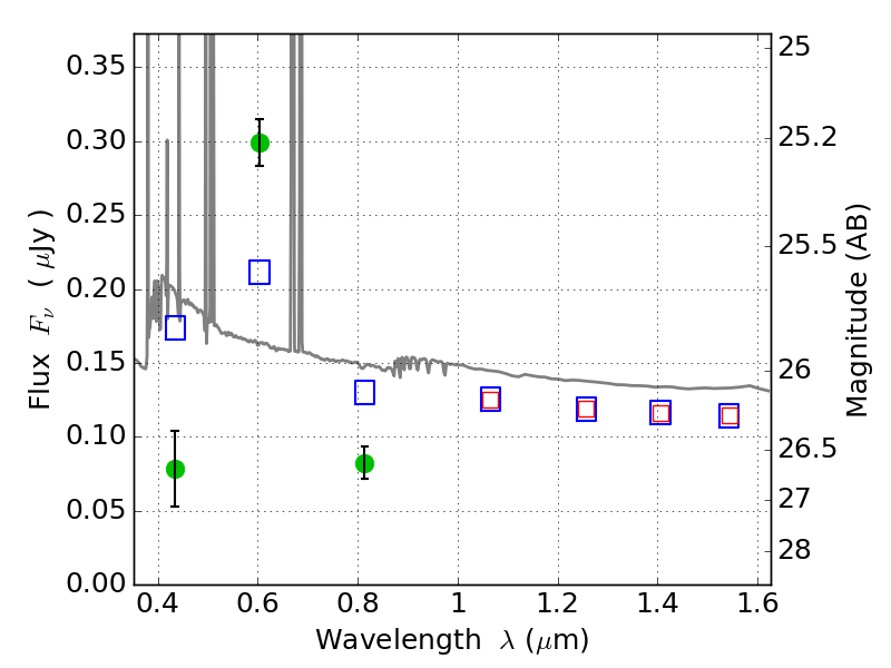
RXC0600-20 ACS+IR detection object #200

Color images and BPZ results
Catalog: 200.cat
Black segments are analyzed here.   Roll mouse over color images to view segments.
Best viewed in a wide browser window (1200 pixels or more).   Download SED & P(z) plots to view larger versions.
In P(z) plots: Yellow lines mark the cluster redshift z = 0.460,  

Object #200   x,y = (2408, 4823)   RA, Dec = (06:00:11.040, -20:06:02.88) = (90.04600, -20.10080)   BPZ = 0.019 [0.010--0.043]   type = 11.00 (SB11_A_0_l)   stellarity = 0.80   chisq2 = 35.24   ODDS = 1.00   z_cluster = 0.460