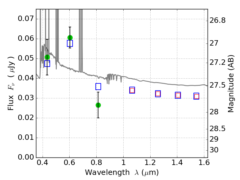
RXC0600-20 ACS+IR detection object #1899

Color images and BPZ results
Catalog: 1899.cat
Black segments are analyzed here.   Roll mouse over color images to view segments.
Best viewed in a wide browser window (1200 pixels or more).   Download SED & P(z) plots to view larger versions.
In P(z) plots: Yellow lines mark the cluster redshift z = 0.460,  

Object #1899   x,y = (4292, 3409)   RA, Dec = (06:00:03.000, -20:07:27.84) = (90.01250, -20.12440)   BPZ = 0.032 [0.030--2.907]   type = 11.00 (SB11_A_0_l)   stellarity = 0.01   chisq2 = 1.83   ODDS = 0.06   z_cluster = 0.460