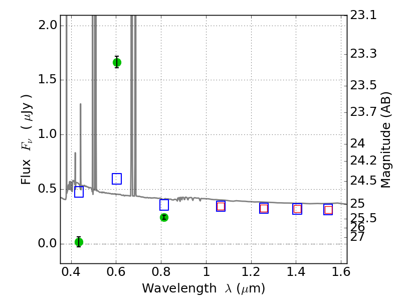
RXC0600-20 ACS+IR detection object #1403

Color images and BPZ results
Catalog: 1403.cat
Black segments are analyzed here.   Roll mouse over color images to view segments.
Best viewed in a wide browser window (1200 pixels or more).   Download SED & P(z) plots to view larger versions.
In P(z) plots: Yellow lines mark the cluster redshift z = 0.460,  

Object #1403   x,y = (1351, 3726)   RA, Dec = (06:00:15.528, -20:07:08.76) = (90.06470, -20.11910)   BPZ = 0.016 [0.010--0.031]   type = 11.00 (SB11_A_0_l)   stellarity = 1.00   chisq2 = 329.13   ODDS = 1.00   z_cluster = 0.460