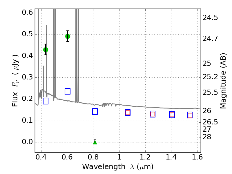
RXC0600-20 ACS+IR detection object #696

Color images and BPZ results
Catalog: 696.cat
Black segments are analyzed here.   Roll mouse over color images to view segments.
Best viewed in a wide browser window (1200 pixels or more).   Download SED & P(z) plots to view larger versions.
In P(z) plots: Yellow lines mark the cluster redshift z = 0.460,  

Object #696   x,y = (3552, 4292)   RA, Dec = (06:00:06.168, -20:06:34.92) = (90.02570, -20.10970)   BPZ = 0.018 [0.010--0.036]   type = 11.00 (SB11_A_0_l)   stellarity = 0.94   chisq2 = 195.20   ODDS = 1.00   z_cluster = 0.460