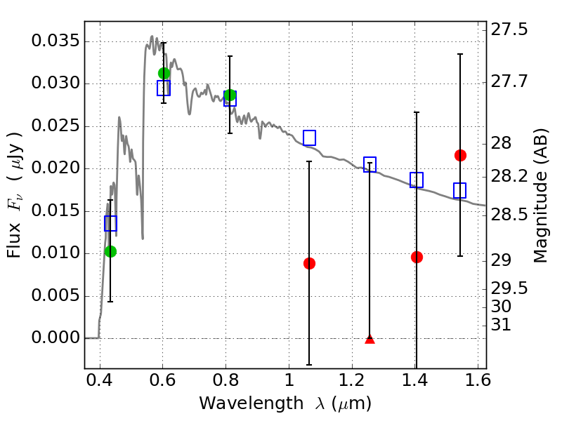
RXC0600-20 ACS+IR detection object #5349

Color images and BPZ results
Catalog: 5349.cat
Black segments are analyzed here.   Roll mouse over color images to view segments.
Best viewed in a wide browser window (1200 pixels or more).   Download SED & P(z) plots to view larger versions.
In P(z) plots: Yellow lines mark the cluster redshift z = 0.460,  

Object #5349   x,y = (3142, 1612)   RA, Dec = (06:00:07.896, -20:09:15.48) = (90.03290, -20.15430)   BPZ = 3.421 [0.230--3.800]   type = 11.00 (SB11_A_0_l)   stellarity = 0.62   chisq2 = 0.83   ODDS = 0.47   z_cluster = 0.460