RXC0600-20 ACS+IR detection object #4870

Color images and BPZ results
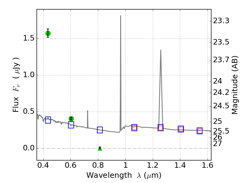
Catalog: 4870.cat
Black segments are analyzed here.   Roll mouse over color images to view segments.
Best viewed in a wide browser window (1200 pixels or more).   Download SED & P(z) plots to view larger versions.
In P(z) plots: Yellow lines mark the cluster redshift z = 0.460,  

Object #4870   x,y = (4665, 2097)   RA, Dec = (06:00:01.416, -20:08:46.32) = (90.00590, -20.14620)   BPZ = 1.593 [0.016--1.823]   type = 11.00 (SB11_A_0_l)   stellarity = 0.93   chisq2 = 429.80   ODDS = 0.83   z_cluster = 0.460