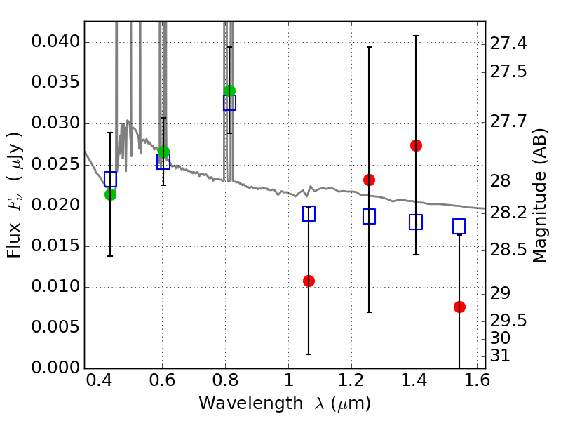
RXC0600-20 ACS+IR detection object #4819

Color images and BPZ results
Catalog: 4819.cat
Black segments are analyzed here.   Roll mouse over color images to view segments.
Best viewed in a wide browser window (1200 pixels or more).   Download SED & P(z) plots to view larger versions.
In P(z) plots: Yellow lines mark the cluster redshift z = 0.460,  

Object #4819   x,y = (2412, 2046)   RA, Dec = (06:00:11.016, -20:08:49.56) = (90.04590, -20.14710)   BPZ = 0.221 [0.088--3.510]   type = 11.00 (SB11_A_0_l)   stellarity = 0.08   chisq2 = 0.68   ODDS = 0.24   z_cluster = 0.460