RXC0600-20 ACS+IR detection object #4721

Color images and BPZ results
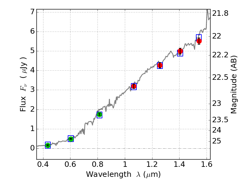
Catalog: 4721.cat
Black segments are analyzed here.   Roll mouse over color images to view segments.
Best viewed in a wide browser window (1200 pixels or more).   Download SED & P(z) plots to view larger versions.
In P(z) plots: Yellow lines mark the cluster redshift z = 0.460,  

Object #4721   x,y = (3153, 1969)   RA, Dec = (06:00:07.872, -20:08:54.24) = (90.03280, -20.14840)   BPZ = 0.767 [0.664--0.856]   type = 5.80 (Sbc_B10 - ES0_B10)   stellarity = 0.03   chisq2 = 0.06   ODDS = 0.85   z_cluster = 0.460