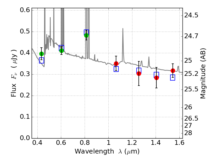
RXC0600-20 ACS+IR detection object #4195

Color images and BPZ results
Catalog: 4195.cat
Black segments are analyzed here.   Roll mouse over color images to view segments.
Best viewed in a wide browser window (1200 pixels or more).   Download SED & P(z) plots to view larger versions.
In P(z) plots: Yellow lines mark the cluster redshift z = 0.460,  

Object #4195   x,y = (3286, 2286)   RA, Dec = (06:00:07.296, -20:08:35.16) = (90.03040, -20.14310)   BPZ = 0.242 [0.088--0.698]   type = 10.90 (SB11_A_0_l - SB3_B10)   stellarity = 0.00   chisq2 = 0.41   ODDS = 0.51   z_cluster = 0.460