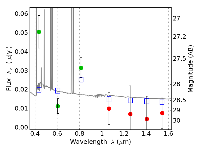
RXC0600-20 ACS+IR detection object #4030

Color images and BPZ results
Catalog: 4030.cat
Black segments are analyzed here.   Roll mouse over color images to view segments.
Best viewed in a wide browser window (1200 pixels or more).   Download SED & P(z) plots to view larger versions.
In P(z) plots: Yellow lines mark the cluster redshift z = 0.460,  

Object #4030   x,y = (3377, 2378)   RA, Dec = (06:00:06.912, -20:08:29.76) = (90.02880, -20.14160)   BPZ = 0.110 [0.091--2.561]   type = 11.00 (SB11_A_0_l)   stellarity = 0.29   chisq2 = 4.71   ODDS = 0.19   z_cluster = 0.460