RXC0600-20 ACS+IR detection object #3793

Color images and BPZ results
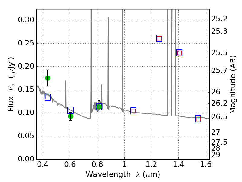
Catalog: 3793.cat
Black segments are analyzed here.   Roll mouse over color images to view segments.
Best viewed in a wide browser window (1200 pixels or more).   Download SED & P(z) plots to view larger versions.
In P(z) plots: Yellow lines mark the cluster redshift z = 0.460,  

Object #3793   x,y = (4987, 2505)   RA, Dec = (06:00:00.048, -20:08:21.84) = (90.00020, -20.13940)   BPZ = 1.032 [0.791--2.230]   type = 11.00 (SB11_A_0_l)   stellarity = 0.00   chisq2 = 3.26   ODDS = 0.35   z_cluster = 0.460