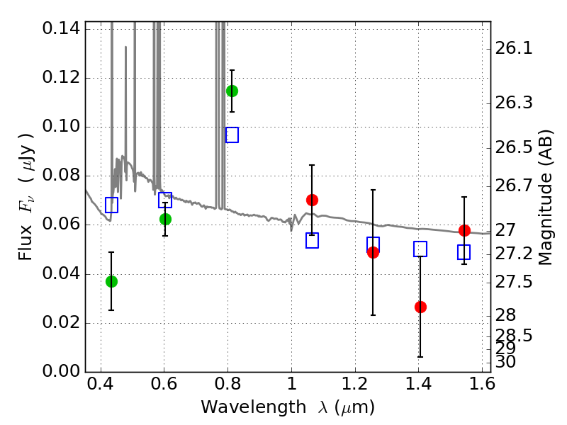
RXC0600-20 ACS+IR detection object #3780

Color images and BPZ results
Catalog: 3780.cat
Black segments are analyzed here.   Roll mouse over color images to view segments.
Best viewed in a wide browser window (1200 pixels or more).   Download SED & P(z) plots to view larger versions.
In P(z) plots: Yellow lines mark the cluster redshift z = 0.460,  

Object #3780   x,y = (2080, 2510)   RA, Dec = (06:00:12.432, -20:08:21.84) = (90.05180, -20.13940)   BPZ = 0.169 [0.101--4.186]   type = 11.00 (SB11_A_0_l)   stellarity = 0.02   chisq2 = 2.86   ODDS = 0.53   z_cluster = 0.460