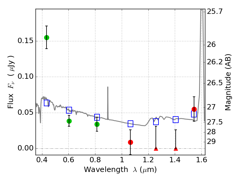
RXC0600-20 ACS+IR detection object #3374

Color images and BPZ results
Catalog: 3374.cat
Black segments are analyzed here.   Roll mouse over color images to view segments.
Best viewed in a wide browser window (1200 pixels or more).   Download SED & P(z) plots to view larger versions.
In P(z) plots: Yellow lines mark the cluster redshift z = 0.460,  

Object #3374   x,y = (3373, 2678)   RA, Dec = (06:00:06.912, -20:08:11.76) = (90.02880, -20.13660)   BPZ = 2.204 [1.393--2.470]   type = 11.00 (SB11_A_0_l)   stellarity = 0.03   chisq2 = 10.24   ODDS = 0.40   z_cluster = 0.460