RXC0600-20 ACS+IR detection object #2764

Color images and BPZ results
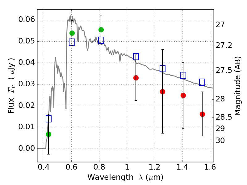
Catalog: 2764.cat
Black segments are analyzed here.   Roll mouse over color images to view segments.
Best viewed in a wide browser window (1200 pixels or more).   Download SED & P(z) plots to view larger versions.
In P(z) plots: Yellow lines mark the cluster redshift z = 0.460,  

Object #2764   x,y = (1793, 2977)   RA, Dec = (06:00:13.656, -20:07:53.76) = (90.05690, -20.13160)   BPZ = 3.620 [0.311--3.924]   type = 11.00 (SB11_A_0_l)   stellarity = 0.26   chisq2 = 1.16   ODDS = 0.74   z_cluster = 0.460