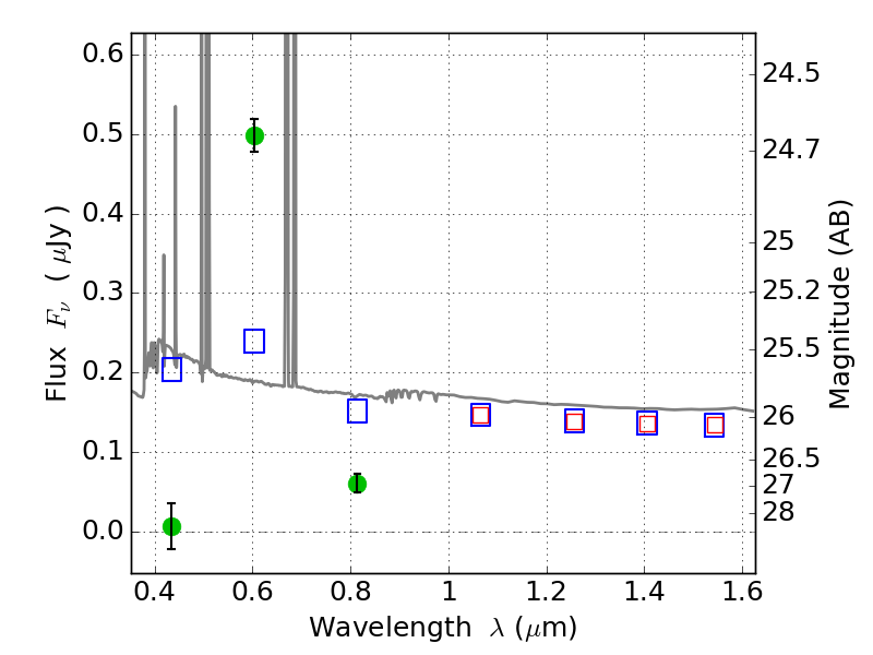
RXC0600-20 ACS+IR detection object #2546

Color images and BPZ results
Catalog: 2546.cat
Black segments are analyzed here.   Roll mouse over color images to view segments.
Best viewed in a wide browser window (1200 pixels or more).   Download SED & P(z) plots to view larger versions.
In P(z) plots: Yellow lines mark the cluster redshift z = 0.460,  

Object #2546   x,y = (735, 3082)   RA, Dec = (06:00:18.168, -20:07:47.28) = (90.07570, -20.12980)   BPZ = 0.017 [0.010--0.034]   type = 11.00 (SB11_A_0_l)   stellarity = 0.99   chisq2 = 158.50   ODDS = 1.00   z_cluster = 0.460