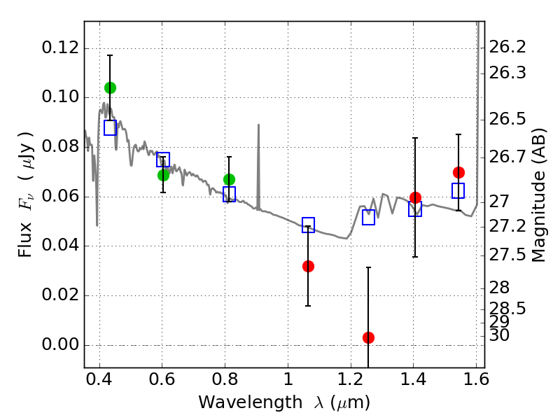
RXC0600-20 ACS+IR detection object #2416

Color images and BPZ results
Catalog: 2416.cat
Black segments are analyzed here.   Roll mouse over color images to view segments.
Best viewed in a wide browser window (1200 pixels or more).   Download SED & P(z) plots to view larger versions.
In P(z) plots: Yellow lines mark the cluster redshift z = 0.460,  

Object #2416   x,y = (3667, 3169)   RA, Dec = (06:00:05.664, -20:07:42.24) = (90.02360, -20.12840)   BPZ = 2.242 [1.523--2.657]   type = 11.00 (SB11_A_0_l)   stellarity = 0.00   chisq2 = 1.50   ODDS = 0.43   z_cluster = 0.460