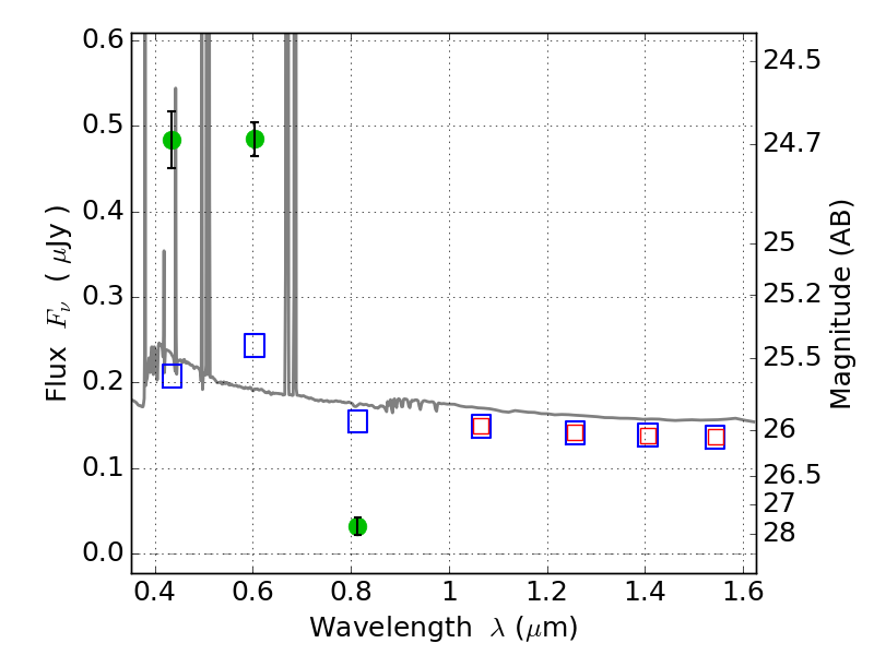
RXC0600-20 ACS+IR detection object #1332

Color images and BPZ results
Catalog: 1332.cat
Black segments are analyzed here.   Roll mouse over color images to view segments.
Best viewed in a wide browser window (1200 pixels or more).   Download SED & P(z) plots to view larger versions.
In P(z) plots: Yellow lines mark the cluster redshift z = 0.460,  

Object #1332   x,y = (1435, 3796)   RA, Dec = (06:00:15.168, -20:07:04.44) = (90.06320, -20.11790)   BPZ = 0.017 [0.010--0.033]   type = 11.00 (SB11_A_0_l)   stellarity = 0.95   chisq2 = 185.50   ODDS = 1.00   z_cluster = 0.460