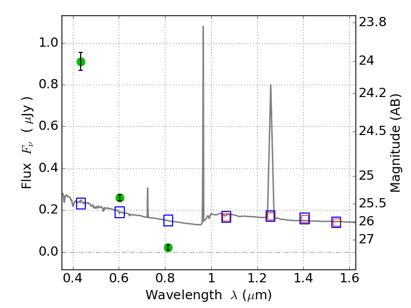
RXC0600-20 ACS+IR detection object #1110

Color images and BPZ results
Catalog: 1110.cat
Black segments are analyzed here.   Roll mouse over color images to view segments.
Best viewed in a wide browser window (1200 pixels or more).   Download SED & P(z) plots to view larger versions.
In P(z) plots: Yellow lines mark the cluster redshift z = 0.460,  

Object #1110   x,y = (1539, 3939)   RA, Dec = (06:00:14.736, -20:06:55.80) = (90.06140, -20.11550)   BPZ = 1.594 [0.033--2.002]   type = 11.00 (SB11_A_0_l)   stellarity = 0.95   chisq2 = 276.70   ODDS = 0.70   z_cluster = 0.460