RXC0600-20 ACS+IR detection object #4046

Color images and BPZ results
Catalog: 4046.cat
Black segments are analyzed here.   Roll mouse over color images to view segments.
Best viewed in a wide browser window (1200 pixels or more).   Download SED & P(z) plots to view larger versions.
In P(z) plots: Yellow lines mark the cluster redshift z = 0.460,  

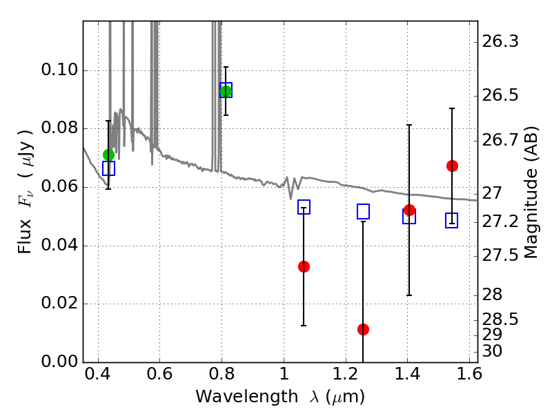
Object #4046   x,y = (2907, 2233)   RA, Dec = (06:00:08.904, -20:08:38.04) = (90.03710, -20.14390)   BPZ = 0.180 [0.086--3.191]   type = 11.00 (SB11_A_0_l)   stellarity = 0.04   chisq2 = 1.01   ODDS = 0.28   z_cluster = 0.460