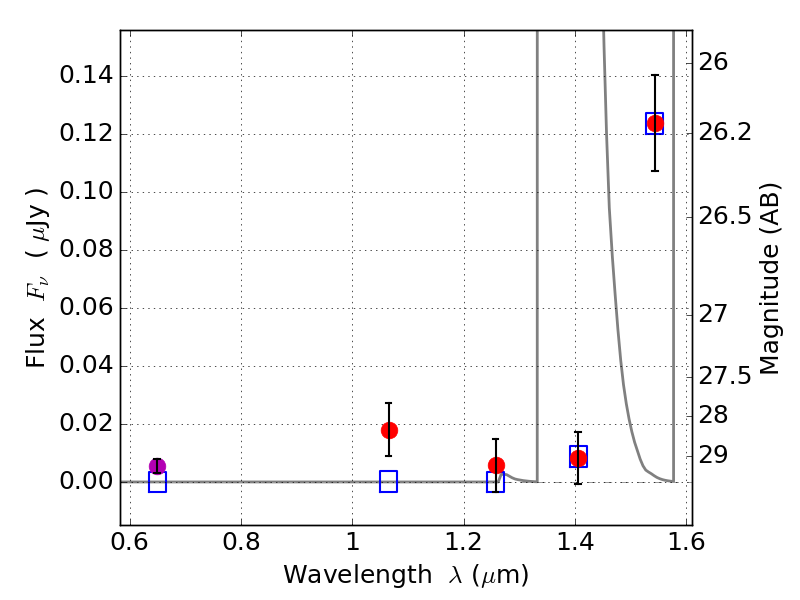
RXC0600-20-PAR IR detection object #813

Color images and BPZ results
Catalog: 813.cat
Black segments are analyzed here.   Roll mouse over color images to view segments.
Best viewed in a wide browser window (1200 pixels or more).   Download SED & P(z) plots to view larger versions.
In P(z) plots: Yellow lines mark the cluster redshift z = 0.460,  

Object #813   x,y = (2192, 2583)   RA, Dec = (06:00:32.496, -20:07:03.36) = (90.13540, -20.11760)   BPZ = 11.990 [11.651--12.945]   type = 9.00 (SB2_B10)   stellarity = 0.71   chisq2 = 1.38   ODDS = 0.73   z_cluster = 0.460