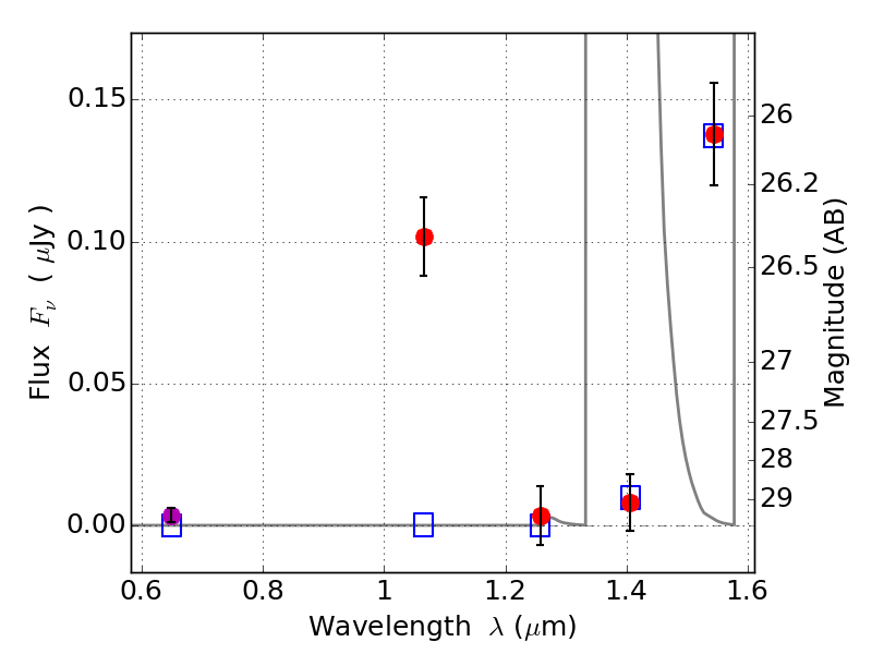
RXC0600-20-PAR IR detection object #838

Color images and BPZ results
Catalog: 838.cat
Black segments are analyzed here.   Roll mouse over color images to view segments.
Best viewed in a wide browser window (1200 pixels or more).   Download SED & P(z) plots to view larger versions.
In P(z) plots: Yellow lines mark the cluster redshift z = 0.460,  

Object #838   x,y = (528, 1297)   RA, Dec = (06:00:39.600, -20:08:20.40) = (90.16500, -20.13900)   BPZ = 11.998 [0.704--12.934]   type = 9.00 (SB2_B10)   stellarity = 0.82   chisq2 = 18.89   ODDS = 0.62   z_cluster = 0.460