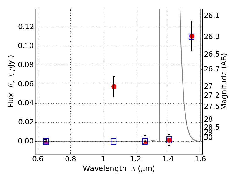
RXC0600-20-PAR IR detection object #615

Color images and BPZ results
Catalog: 615.cat
Black segments are analyzed here.   Roll mouse over color images to view segments.
Best viewed in a wide browser window (1200 pixels or more).   Download SED & P(z) plots to view larger versions.
In P(z) plots: Yellow lines mark the cluster redshift z = 0.460,  

Object #615   x,y = (1957, 1669)   RA, Dec = (06:00:33.504, -20:07:58.08) = (90.13960, -20.13280)   BPZ = 12.252 [11.939--12.963]   type = 10.90 (SB11_A_0_l - SB3_B10)   stellarity = 0.80   chisq2 = 9.90   ODDS = 0.84   z_cluster = 0.460