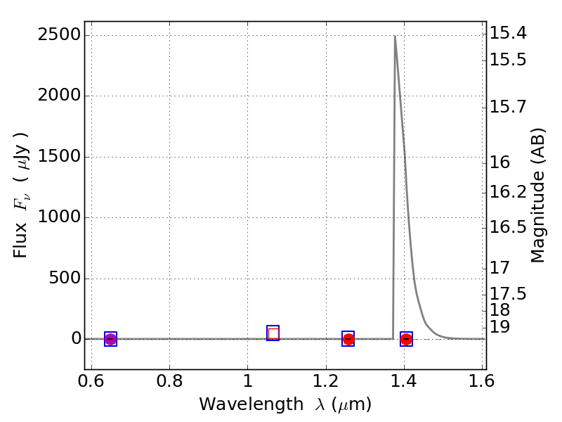
RXC0600-20-PAR IR detection object #34

Color images and BPZ results
Catalog: 34.cat
Black segments are analyzed here.   Roll mouse over color images to view segments.
Best viewed in a wide browser window (1200 pixels or more).   Download SED & P(z) plots to view larger versions.
In P(z) plots: Yellow lines mark the cluster redshift z = 0.460,  

Object #34   x,y = (1936, 2603)   RA, Dec = (06:00:33.600, -20:07:02.28) = (90.14000, -20.11730)   BPZ = 12.421 [12.355--12.976]   type = 9.70 (SB3_B10 - SB2_B10)   stellarity = 0.94   chisq2 = 0.00   ODDS = 0.95   z_cluster = 0.460