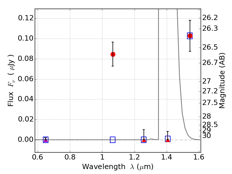
RXC0600-20-PAR IR detection object #1410

Color images and BPZ results
Catalog: 1410.cat
Black segments are analyzed here.   Roll mouse over color images to view segments.
Best viewed in a wide browser window (1200 pixels or more).   Download SED & P(z) plots to view larger versions.
In P(z) plots: Yellow lines mark the cluster redshift z = 0.460,  

Object #1410   x,y = (997, 334)   RA, Dec = (06:00:37.584, -20:09:18.36) = (90.15660, -20.15510)   BPZ = 12.269 [5.151--12.957]   type = 11.00 (SB11_A_0_l)   stellarity = 0.76   chisq2 = 19.31   ODDS = 0.79   z_cluster = 0.460